認定農業者の認定状況(令和5年3月末現在)
PDFファイルはこちら。
認定農業者の認定状況(令和5年3月末)(PDF : 348KB)
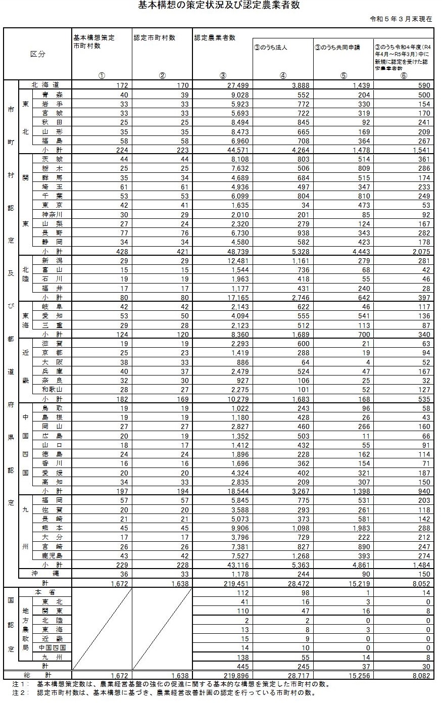
令和5年3月末現在の認定農業者数は、21万9,896経営体となり、前年と比べ、2,478経営体減少しました。
また、認定農業者のうち法人の数は、前年と比べて762法人増加し、2万8,717法人となっています。
また、認定農業者のうち法人の数は、前年と比べて762法人増加し、2万8,717法人となっています。





お問合せ先
経営局経営政策課
担当者:経営育成グループ
代表:03-3502-8111(内線5140)
ダイヤルイン:03-3502-6441




